8.下列事例中,能够增大压强的是
[ ]
A.在铁路的钢轨下铺设枕木
B.把书包带做得宽些
C.刀、斧、剪的刃都磨得很薄
D.在坦克的轮子上安装履带
9.汽车在平直的高速公路上匀速行驶,10秒钟通过了150米的路程,汽车的速度是
[ ]
A.1500米/秒
B.160米/秒
C.50米/秒
D.15米/秒
10.下列物态变化过程中,属于液化现象的是
[ ]
A.湿衣服变干
B.夏天的早晨,草地上出现露珠
C.冬天,水结成冰
D.放在衣橱里的樟脑丸越来越小
11.使用幻灯机放映幻灯时,幻灯片在屏幕上所成的像是
[ ]
A.倒立放大的实像
B.正立等大的实像
C.倒立缩小的实像
D.正立缩小的实像
12.下列现象中,属于光的折射现象的是
[ ]
A.斜插入水中的筷子,从水面上看,水下部分向上弯折了
B.从平面镜中看见自己的像
C.在太阳光照射下树木出现了影子
D.平静的水面映出岸上的景物
13.在图1所示的电路中,两个灯泡组成并联电路的是
[ ]

14.在图2所示的电路中,若测量通过灯泡L
1
的电流,应把电流表串联接在电路中的
[ ]
A.a处
B.b处
C.c处
D.d处

15.阻值为10欧的两个电阻并联后,其等效电阻为
[ ]
A.5欧
B.10欧
C.20欧
D.40欧
16.甲、乙两个物体质量相等,若它们的比热之比为2∶1,升高的温度之比为2∶1,则甲、乙两个物体吸收的热量之比为
[ ]
A.1∶1
B.l∶2
C.1∶4
D.4∶l
17.下列现象中,属于内能转化为机械能的是
[ ]
A.用打气筒打气,气筒壁发热
B.锯木头时,锯条发热
C.用电熨斗熨衣服
D.被加热的试管中的水蒸气膨胀做功,把管塞推出管口
18.一本书放在水平桌面上,静止时,在下列各对力中属于平衡力的是
[ ]
A.书对桌面的压力和对书的支持力
B.桌子受到的重力和地面对桌子的支持力
C.书受到的重力和书对桌面的压力
D.书受到的重力和桌面对书的支持力
19.有两个用同种材料制成的圆柱体A和B,A的高度是B的高度的3倍,将A竖直放在水平地面上,B竖直放在A上,如图3(甲)所示,这时A对地面的压强与B对A的压强之比为3∶1.若将A、B倒置后仍放在水平地面上,如图3(乙)所示,则A对B的压强与B对水平地面的压强之比是
[ ]
A.1∶3
B.1∶2
C.4∶1
D.1∶l

20.在图4所示的电路中,电源电压和灯泡电阻保持不变,闭合开关S,将滑动变阻器的滑片P向右移动,则
[ ]
A.电流表示数增大,电压表示数减小
B.电流表示数减小,电压表示数增大
C.电流表示数增大,电压表示数增大
D.电流表示数减小,电压表示数减小

21.木块A漂浮在容器中的水面上,它的上面放有一块石块B,如图5所示,此时木块A排开水的体积为V1.若将石块B从木块A上取下,放入水中,静止时,木块A和石块B排开水的总体积为V2.已知V1-V2=2分米
3
,木块A的体积为4分米
3
,石块B的密度为3×10
3
千克/米
3
,g=10牛/千克.则容器底对石块B的支持力为
[ ]
A.10牛
B.20牛
C.30牛
D.40牛

22.在电源电压不变的某一电路中,接入一个可调温的电热器,电热器内部有两根阻值不相等的电热丝;当两根电热丝串联使用时,电热器消耗的电功率为220瓦;当只使用其中一根阻值较大的电热丝时,电热器消耗的电功率为275瓦;若将两根电热丝并联使用,则电热器消耗的电功率为
[ ]
A.495瓦
B.990瓦
C.l100瓦
D.1375瓦
二、下列各小题均有四个选项,其中至少有一个符合题意.(共6分,每小题2分,错选、漏选,该小题不得分)
23.自行车沿斜坡匀速驶下的过程中,它具有的
[ ]
A.重力势能减小,动能增大
B.重力势能减小,动能不变
C.重力势能减小,机械能减小
D.动能不变,机械能不变
24.在某家庭电路中,出现了保险丝熔断的现象,其原因可能是
[ ]
A.使用的用电器总功率过大
B.电路中有断路
C.电路中有短路
D.电路的总电阻过大
25.下列说法中,正确的是
[ ]
A.温度高的物体含有的热量一定多
B.冰熔化的过程中,温度保持不变
C.一个物体的温度升高,它一定吸收了热量
D.热传递可以改变物体的内能
第Ⅱ卷(非选择题,共50分)
三、填空题(共25分,每空1分)
26.我国家庭电路的电压值为____伏.
27.声音是由发声体振动而产生的,发声体的____停止,发声也就停止了.
28.光在均匀介质中沿____传播.
29.科学上规定以____电荷移动的方向为电流方向.
30.电动机工作时把____能转化为机械能.
31.汽车轮胎上有凹凸不平的花纹是为了____摩擦.(填“增大”或“减小”)
32.行驶的汽车突然刹车时,乘客由于具有____而向前倾倒.
33.甲、乙两个带电物体互相排斥,若甲物体带负电,则乙物体带____电.
34.某人站在竖直放置的平面镜前2米处,他在镜中的像距离他____米.
35.某人坐在匀速行驶的列车中,他以列车车厢为参照物,他是____的.(填“运动”或“静止”)
36.一束光线照射到平面镜上,人射角是30度,则反射角是____度.
37.我们能从不同方向看到本身不发光的物体,是由于光射到物体上时发生_____的缘故.(填“漫反射”或“镜面反射”)
38.高压锅是利用增大压强,使沸点____的原理来更快煮熟食物的.(填“升高”或“降低”)
39.往一杯水中放入一些糖,过一会儿,水变甜了,这一现象说明,物体的____都在不停地做无规则运动.
40.光在真空中的传播速度是____米/秒.
41.把湿衣服晾在通风向阳处,是为了使蒸发____.(填“变快”或“变慢”)
42.木炭的燃烧值是3.4×10
7
焦/千克,完全燃烧2千克木炭可以放出____焦的热量.
43.用一个动滑轮匀速提升某重物的过程中,有用功为80焦,总功为100焦,则这个动滑轮的机械效率是____.
44.某电热器的电阻是50欧,如果通过它的电流是1安,则100秒钟内,电热器产生的热量是____焦.
45.起重机将1000牛的重物竖直向上匀速提升15米后,又将重物匀速水平移动了5米.整个过程中,竖直向上的拉力对重物做了____焦的功.
46.电阻R1与R2并联,已知R1∶R2=2∶3,通过R1和R2的总电流为0.6安,那么通过R2的电流是____安.
47.如图6所示,AB是一个质量不计的杠杆,支点为O,杠杆A、B两端分别挂有甲、乙两个物体,杠杆平衡.已知甲物体的质量为1.5千克,乙物体的质量为4.5千克,AB长2米,则支点O应距A点____米.

48.如图7所示,在滑轮组的作用下,物体A沿水平地面以0.2米/秒的速度匀速前进了2米,已知物体A重为300牛,拉力F的功率为12瓦,不计绳和滑轮重,则拉力F=____牛.
49.在图8所示的电路中,电源电压不变,闭合开关S,电压表V
1
和V
2
的示数之比为3∶5,电流表A的示数为1安;若将电压表V
1
换成电流表A
1
,则电流表A
1
的示数为2安;那么R
1
∶R
3
=____.


50.一个重为G的实心金属球,挂在弹簧秤下并浸入某种液体,当

的密度与该液体的密度之比____.
四、作图题(共4分,每小题1分)
51.在图9中,物体A重30牛,用力的图示法表示出物体A受到的重力.

52.在图10中,O是杠杆的支点,画出力F的力臂,并用字母L表示.
53.图11画出了光线通过透镜前、后的方向,在方框中画出适当类型的透镜.


54.在图12中,根据通电螺线管的N、S极,用箭头在导线上标出电流方向.

五、实验题(每空1分,填图1分,共11分)
55.图13表示温度计的一部分,它的示数是____℃.
56.图14中,弹簧秤对物体的拉力是____牛.


57.测金属块的密度
(l)调节托盘天平.将天平放在水平桌面上,把游码放在标尺的零刻度线处,发现指针的位置指在分度盘(平衡标盘)中央的左侧,要使横梁平衡,应将平衡螺母向____调节.
(2)用调节好的天平称金属块的质量.把金属块放在天平的左盘内,当右盘内有50克的砝码一个,游码在标尺上的位置如图15所示时,天平平衡,则金属块的质量为____克.


(3)将金属块放入盛有60厘米
3
水的量筒中以后,水面所到达的位置如图16所示,则金属块的体积为____厘米
3
,金属块的密度是____千克/米
3
.
58.图17中,电阻箱的示数是____欧.


59.图18是用伏安法测小灯泡电阻的实验电路图,在图中“○”内正确填写电流表、电压表的符号.当小灯泡发光时,电压表、电流表的示数如图19所示,则小灯泡两端的电压是____伏,通过小灯泡的电流是____安,小灯泡的电阻是____欧.

六、计算题(共10分)
60.水壶中盛有2千克的水,当水的温度从20℃升高到100℃时,水吸收了多少热量?[C水=4.2×10
3
焦/(千克·℃)](2分)
61.底面积为100厘米
3
的圆柱形容器内装有适量的液体,将其竖直放置在水平桌面上.把木块A放人容器内的液体中,静止时,木块A有五分之一的体积露出液面,此时液体的深度为20厘米.如果在木块A上放一个金属块B,木块A恰好没入液面,如图20所示.已知木块A的体积是250厘米
3
,质量为160克,g=10牛/千克.求:
(l)金属块B受到的重力.(2分)
(2)木块A恰好没入液面时,液体对容器底的压强(2分)

62.如图21所示的电路中,电源电压和灯泡电阻不变.当闭合开关S
1
,断开开关S
2
、S
3
时,电灯L正常发光,电压表示数为6伏;当闭合开关S
1
、S
2
,断开开关S
3
时,电流表示数为1安;当闭合开关S
3
,

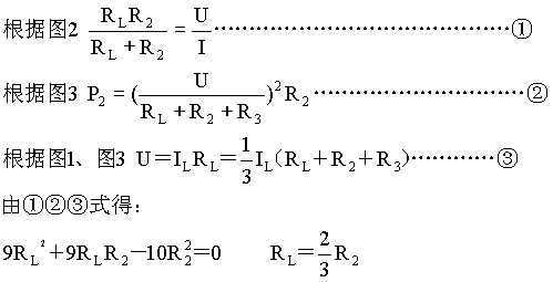
为0.6瓦.
求:灯L的额定功率和电阻R
3
的阻值.(4分)

参考答案
一、选择题
|
1.B
|
2.C
|
3.A
|
4.C
|
5.A
|
|
6.A
|
7.A
|
8.C
|
9.D
|
10.B
|
|
11.A
|
12.A
|
13.B
|
14.B
|
15.A
|
|
16.D
|
17.D
|
18.D
|
19.D
|
20.B
|
|
21.B
|
22.D
|
|
|
|
二、选择题